身份證核驗數字簽名捺印終端

一、產品介紹
智能交互終端是新一代的渠道服務智慧化產品,集人像拍攝、文稿拍攝、社保卡讀卡、二代身份證閱讀等功能于一體,被廣泛應用于各類運營商,涉及電力、醫療、酒店、金融、保險等窗口行業,極大地便利了身份核驗、信息采集、客戶簽字授權等方面的需求。

二、產品功能
1、文檔拍照
?足以勝任消費級數碼相機的大尺寸感光元件,即使500萬分辨率也有良好的清晰度;
?深色絨面文稿墊,避免環境反光,有利于在不同環境下對拍攝對象更準確地自動裁切;
?3級調光補光燈,適應不同拍攝介質;
?觸控式補光按鈕,耐久和易操控;
2、人像拍照
?當客戶簽字或預覽屏幕內容時,設置在屏幕邊緣的攝像頭即可拍攝滿意的用戶頭像,無需操作員頻繁調整攝像頭角度,減少操作員的勞作強度;
?長景深鏡頭,可在40~1000cm范圍內清晰拍攝身份證信息+用戶頭像作為實名制應用;
?出眾的弱光拍照表現能力;
?采用專業的人像拍攝點測光方式,解決了高光比環境下人臉部分曝光不準的問題;
?SDK提供人像區域提示框功能,讓用戶更準確地拍出合規的現場照片;
3、手寫功能
?采用主流的無源無線電磁手寫技術,在眾多傳統觸摸技術平面二維基礎上增加了一個壓感維度,觸摸分辨率達到原先4倍以上的精度,數據量增加了6倍以上,足以記錄人們書寫過程中的豐富信息,這樣的簽名用于識別用戶身份;
?壓力變化曲線平滑,書寫筆跡美觀流暢;
?底層軟件筆跡優化,完美展現用戶書寫效果。
4、證卡識別(身份證)
?符合ISO14443 Type B標準,以及《GA 450-2003臺式居民身份證閱讀器通用技術要求》、《1GA450-2003臺式居民身份證閱讀器通用技術要求第一號修改單(草案)》
?讀卡距離限定:0~3cm,防止越界讀取用戶信息;
?證卡驗真功能:可以讀取出有效信息的證件均為合法證件;
?結合人像,指紋比對,實現人證合一驗證。
5、指紋錄入
?公安認證指紋模塊,大尺寸采集窗,指紋數據一次采集完整,用戶體驗好;
?內置公安標準指紋識別核驗算法,可以和身份證內置指紋信息做核驗,合法性有效性有保障;
?電容模塊和光學模塊可選,兼顧性價比和高端性能訴求;
?配合人臉比對三方核驗,人證一致性更加可靠;
6證卡識別(智能卡)
?符合ISO7816 、ISO14443標準,可讀寫售電卡,社保卡,銀行卡等諸多接觸式芯片卡

三、規格參數
項目 參數
主板
main board 產品名稱
product name 手寫信息數字簽名板
系統
system Linux/安卓
CPU主頻
frequency ARM Cortex-A55 四核 64-bit CPU,主頻2.0GHz
GPU/NPU Mali-G31 MP2/0.5 TOPS,支持INT8/ INT16
內存DDR 2G
存儲EMMC 16G
屏幕
Screen 屏幕尺寸
Panel Size 10.1英寸
顯示分辨率
Resolution 1200×1920/1280×800
液晶模式
LCD Type IPS
顯示區域
Active Area 216.96 × 135.6mm
對比度
Contrast Ratio 1000:1
亮度
Brightness 250cd/m2/300cd/m2
響應時間
Response Time 25ms
可視視角
Viewing Angle 89°/89°(H)/89°/89°(V) (Typ.)(CR>10)
顯示顏色
Display Color 16.7M(8bit)
電容觸控
(選配)
Capacitive touch
(option) 多點觸控 10點
觸摸屏工藝 G+G
表面硬度 7H
點擊壽命 100萬次
電磁手寫相關參數
EMR 筆感應技術
Pen Technology 無源被動式電磁感應Battery-free Electromagnetic Resonance
手寫分辨率
Pen Resolution 5080LPI
壓感級別
Pressure Level 8192 Levels
精確度Accuracy ±0.5毫米 (中心), ±2.0毫米 (邊角)
感應高度
Sensing Height 10 mm
讀取速率
Report Rate 233 PPS
握筆傾角識別(angle) 最大允許±45°握筆角度
筆跡特征智能比對算法 支持筆跡特征采集相似度智能對比,給出5維運筆特征相似度對比結果
筆跡溯源回放 支持1比1簽字筆跡原始數據溯源
存儲安全校驗 支持筆跡圖片加密存儲,防復制和篡改
外設
peripheral 身份證(選配)
identity card 內置二代證閱讀器,支持二代證身份證信息數據讀取
高拍儀(選配)
High speed scanner (200/500/800/1300/1600)萬像素高拍儀
IC卡
IC card reader 支持 ISO 7816 CPU 卡、支持社保、銀聯卡等
支持 ISO 14443 TypeA、TypeB、M1、衛計委居民健康卡
支持 ISO 7811
支持 4 個 PSAM 卡座
安全芯片加密(選配)
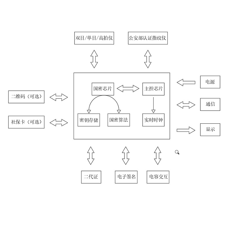
Securechip encryption 支持國密加密SM1\SM2\SM3\SM4,拆機自毀(提供商用密碼證書)
攝像頭(選配)
camera 單目或雙目攝像頭支持活體檢測,像素200萬/500萬,單目魚眼攝像頭500萬,支持人臉比對
指紋(選配)
fingerprint 256*360 公安部二代證標準/ 256*288普通/ 192*192普通
喇叭(選配)speak 支持語音推送
數據傳輸方式
transmission mode 支持USB、RJ45、Wi-Fi數據交互通信
外部接口
External interface Type-C*1 ,USB*4、 RJ45*1
系統管理
system management 支持在線軟件升級、設備管理及廣告內容更新。
軟件對接
Software docking 支持各類業務系統對接服務,以及各種簽名、指紋、攝像、拍照采集對比等定制開發服務。開發環境語言支持C++、JAVA、C#等等
整體
General 開關機
turn on/OFF 電源開關按鍵:可控制設備開關機;
外觀設計及尺寸
dimension 產品外觀及尺寸符合小巧,易于擺放要求。
屏幕傾斜15度~35度易于觀看。
線纜Cable 線纜和機身連接可拆卸。設備端只有一條集成線纜與控制端或其它設備交互,簡潔桌面,線纜長大于2米。
防滑裝置
Antiskid device 設備底部有防滑裝置,不容易滑動,方便客戶操作
電池電源
power 電源適配器:12V/2A,外接電源獨立供電
底座base 電磁筆配置底座
數據線
data cable Type-C含DC-IN 和USB 二合一線
外形尺寸
Dimension 356*180*20mm
顏色Color 黑色Black
可調節支架
Adjustable Stand 調節支架 Adjustable Stand
工作功耗
Power Consumption ≤7W
其它 待機功耗
Standby Consumption 0.5W以下
工作溫度與濕度
Working Temperature and Humidity 0 -+ 40°C 、 20-80%
四、人機接口
4.1接口
通信接口:Type-C*1 ,USB*4、 RJ45*1
4.2商標、銘牌、信息標識
商標:公司商標或客戶訂制
五、軟件規格(TBD)
配置軟件:在windows系統及國產系統均能適配使用。
Windows適配系統:Windows Server2003 / Server 2008 / Server 2012 / Server 2016 / XP / Vista / Win7 / Win8 / Win8.1 / Win 10(32/64bit)或Win 11(32/64bit)
六、電源環境適應性
1、電壓、頻率的適應范圍;
電壓適應性
電壓/頻率 100~240VAC ,50~60Hz
2、電源適配器的認證要求及電源插頭類型
國家
(或地區) 電壓
范圍 電源線
類型 電源線
認證要求
中國 100~230V I型 CCC
七、氣候環境適應性
儲存環境
溫度范圍 0℃~40℃應該比使用范圍大
相對濕度范圍 20%~80%RH
海拔 0~2000m
使用環境
操作溫度范圍 0℃~40℃
相對濕度范圍 20%~80%
海拔 0~2000m
(*由于產品升級或其他原因,身份證核驗數字簽名捺印終端產品實際參數有可能變更,以實際產品為準。本文中的所有陳述、信息和建議也不構成任何明示或暗示的擔保)
上一篇: 千景HD-M6安卓智能終端
下一篇:沒有資料












































